Accueil > Terminale ES et L spécialité > Généralités en probabilités > Calculer l’espérance d’une variable aléatoire
Calculer l’espérance d’une variable aléatoire
samedi 10 mars 2018, par
Méthode
Pour comprendre cette méthode, il est indispensable d’avoir pris connaissance de celle-ci : Déterminer la loi de probabilité d’une variable aléatoire.
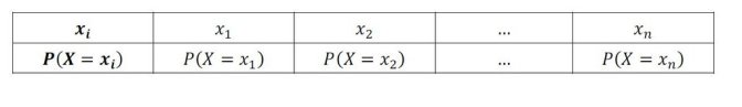
On considère une variable aléatoire discrète $X$ dont on connaît la loi de probabilité.
L’espérance de $X$, notée $E(X)$ est la moyenne des valeurs prises par $X$, pondéré par les probabilités associées. Autrement dit, si la loi de probabilité de $X$ est donnée par le tableau suivant :
alors $E(X)=x_1\times P(X=x_1)+x_2\times P(X=x_2)+...+x_n\times P(X=x_n)$.
Cette formule s’écrit sous forme plus rigoureuse :
$E(X)=\sum_{i=1}^{n} x_i\times P(X=x_i)$
Important : l’espérance de $X$ est la valeur que l’on peut espérer obtenir (pour $X$) en moyenne, sur un grand nombre d’expériences. Cette interprétation de l’espérance est une conséquence de la loi des grands nombres.
Remarques :
- lorsque $X$ suit une loi de probabilité "connue" (comme la loi binomiale par exemple), on dispose de formules. Par exemple, si $X$ suit la loi binomiale de paramètres $n$ et $p$ alors l’espérance de $X$ est $E(X)=n\times p$.
- lorsque $X$ comptabilise un gain en euros pour un joueur et que l’on demande si le jeu est avantageux, désavantageux ou équilibré, il suffit de regarder si $E(X) \geq 0$, $E(X) \leq 0$ ou $E(X) = 0$. Dans ce dernier cas, on dit aussi que le jeu est équilibré.
Un exemple en vidéo
D’autres exemples pour s’entraîner
- Niveau facile
On considère une variable aléatoire $X$ qui compte le gain (en €) d’un joueur qui participe à un jeu de hasard. Voici la loi de probabilité de $X$ :
- Calculer $E(X)$.
- Interpréter ce résultat.
- Niveau moyen
On jette un dé à 6 faces équilibré 4 fois de suite.
Soit $X$ la variable aléatoire qui compte le nombre de 6 obtenus.
Calculer $E(X)$ puis interpréter le résultat obtenu.
- Niveau difficile
Un sac contient 10 boules : 3 bleues et 7 vertes. Un joueur se présente et tire au hasard, successivement et sans remises deux boules dans l’urne.
– Si la 1ère boule tirée est bleue, on gagne 10 €.
– Si la 2ème boule tirée est verte, on gagne 5 € (cette somme peut éventuellement se cumuler avec la première).
– Dans les autres cas, on ne gagne rien.
Avant chaque partie, un joueur doit s’acquitter d’un montant de 8 €.
- Ce jeu est-il équitable ?
- Combien peut espérer gagner l’organisateur du jeu après 50 parties ?
- Quel devrait être le prix d’une partie pour que le jeu devienne équitable ?
Au Bac
On utilise cette méthode pour résoudre :
- Première, spécialité maths
- la question 4 de Sujet 0, 2020 - Exercice 3.
- Terminale ES et L spécialité
- la question 4.b de Nouvelle Calédonie, Novembre 2017 - Exercice 2 (non spé).
- la question 2 de Centres étrangers, Juin 2018 - Exercice 3.
Mathématiques.club







Messages
1. Calculer l’espérance d’une variable aléatoire, 15 mars 2019, 01:55, par vivian
Quels calculs devrais-je faire pour ceci :
1) l’organisme espere recueillir 400 000.00$. combien de personnes devrait-elle solliciter au minimum pour recuillir au moins ce montant.
si E(x) : 19.6
2) soit la variable aleatoire definie par Y : x2
a) E(Y) et b) : Var(Y) :
3) soit Z la variable aleatoire definie par z : x-E(x) sur o(X)
a) E(z) et b) o(z)
1. Calculer l’espérance d’une variable aléatoire, 15 mars 2019, 19:31, par Neige
Bonjour vivian,
Merci pour ta question mais il faudrait en dire un peu plus :
– Comment est définie la variable aléatoire x ?
– Quelle est la loi de x ?
A priori, si x représente le montant d’un don en $ pour une personne interrogée au hasard, E(x) est la valeur moyenne de ce don par personne (sur un grand nombre de personne).
Donc, il te suffirait de calculer 400 000/19.6 pour connaître le nombre de personnes...Mais ton énoncé est trop incomplet pour en être certain. N’hésite pas le compléter ici.
A bientôt
Neige
2. demande methode de calcul ecat type, 22 octobre 2019, 09:59, par kamel naili
bonjour
je cherche comment determiner le tonnage receptionné du papier entrant dans la norme et le tonnage hors norme en prenant comme base le grammage du papier (grs/m²)
exemple : tonnage globale receptionné 100 t
grammage std 90grs/m²
nombre échantillons : 10
echantillons 1,2,3 grammage trouvé 90 grs/m²
echantillon 4,5,6,7 grammage trouvé 94 grs/m²
echantillon 8,9,10 grammage trouvé 87 grs/m²
ma question comment appliquer la courbe de gauss pour connaitre le tonnage hors norme
merci
1. demande methode de calcul ecat type, 24 octobre 2019, 11:16, par Neige
Bonjour kamel naili,
Désolé mais je n’ai pas vraiment compris la question.
Cherches-tu à :
– calculer l’écart-type de cette série ?
– estimer un écart-type de la population totale à partir de cet échantillon ?
Si tu veux déterminer le nombre d’échantillons hors norme, il me semble que tu as besoin d’un écart type et d’un seuil de rejet...
Je serais ravi de t’aider si tu précises ton énoncé.
Bonne journée !
Neige
3. Calculer l’espérance d’une variable aléatoire, 2 mars 2020, 07:40, par serge
Statistique eferatielle
On donne f(x)=k /(1-x)2 si 2≤x≤4
calculer E(x) et V(x)
je cherche l’experience mathematique et la variance de cette fonction
1. Calculer l’espérance d’une variable aléatoire, 3 mars 2020, 16:33, par Neige
Bonjour serge,
Tout d’abord, cette question dépasse un peu le cadre de la méthode présentée ici puisqu’il s’agit d’espérance de lois discrètes et que tu proposes une densité de probabilité.
Mais je vais quand même essayer de répondre.
En premier lieu, il faudrait que f soit bien une densité. Pour cela k ne peut prendre qu’une seule valeur, je te laisse la trouver (utilise le fait que l’intégrale de f sur [2 ;4] doit valoir 1).
Pour calculer l’espérance de X, il suffit de calculer l’intégrale de xf(x) sur [2 ;4], tu peux y arriver en faisant apparaître une forme de type u’/u. Pour la variance, tu peux calculer l’intégrale de x²f(x) sur [2 ;4] en utilisant une méthode analogue. Il faudra ensuite soustraire le carré de l’espérance.
Reviens par ici si tu n’arrives pas à faire les calculs.
Bon courage !
Neige
4. Espérance de deux variables aléatoires, 27 avril 2020, 17:33, par samuel
Bonjour,
on m’a donné l’exercice suivant :
soit un couple aléatoire (X,Y) à valeurs dans -1,0,1x2,3 dont la loi jointe est donnée par le tableau suivant :
X\Y 2 3 P(X=x)
– 1 2/9 0 2/9
0 3/9 1/9 4/9
1 1/9 2/9 3/9
P(Y=y) 6/9 3/9 1
1° Les variables aléatoires sont-elles indépendantes ?
2° Calculer E(XY)
Pour la 1° j’ai trouvé que non elles ne sont pas indépendantes, pour la 2° je ne sais pas comment calculer cette espérance comme X et Y ne sont pas indépendantes.
Je connais la méthode E(XY) = E(X)E(Y) mais comment faire si X et Y sont pas indépendantes ?
Merci beaucoup !
1. Espérance de deux variables aléatoires, 28 avril 2020, 14:20, par Neige
Bonjour Samuel,
Il y a plusieurs méthodes mais la plus intuitive me semble d’écrire Z = XY et de déterminer la loi de Z. Plus précisément :
Voilà, j’espère que ces explications t’aideront (mais reviens par ici si ce n’est pas clair).
Bon courage !
Neige
5. Calculer l’espérance d’une variable aléatoire, 29 décembre 2020, 19:28, par Viaduc
Pourquoi la méthode E(X)=somme(m de 0 à infini)P(X>m)
n’est elle jamais dans les manuels ?
1. Calculer l’espérance d’une variable aléatoire, 30 décembre 2020, 15:26, par Neige
Bonjour Viaduc,
Effectivement, cette formule n’est pas enseignée au lycée.
Je pense que la raison est que son intérêt pratique est limité pour les variables discrètes. En effet, en général, on dispose souvent de formule pour P(X = k) mais pas pour P(X < k) ou P(X > k).
C’est beaucoup plus utile pour les variables continues (il existe une formule équivalente à celle que tu donnes avec une intégrale de la fonction de répartition) mais l’étude de ces variables continues au lycée se cantonne à des cas bien connus et des exercices très appliqués.
Voilà voilà, merci pour ta remarque très pertinente !
A bientôt
Neige
6. Calculer l’espérance d’une variable aléatoire question exercice probabilité , 2 janvier 2021, 18:02, par Nieckia
Bonjour, j’ai du mal à comprendre la partie 3 de mon exercice sur les probabilités.
"Une jardinerie vend de jeunes plants d’arbres qui proviennent de 3 horticulteurs : 35% des plants proviennent de l’horticulteur H1, 25% du H2 et 40% du H3. Chaque horticulteur livre deux catégories d’arbres : C et F. H1 comporte 80% de C à la livraison H2 50% et H3 30%. Ma première question est la suivante on nous a demandé de calculer l’espérance et d’interpréter (N=40 p=0.525 et ✖ variable qui donne le nombre de C, suit une loi binomiale). J’ai trouvé E (X)=21 et je voulais savoir si sa correspondait au nombre de conifère que l’ont peut espérer obtenir sur l’échantillon. Dans la partie 3, on nous dit que que la jardinerie vend ces C 10€ et ces F de chez H1 12€ H2 15€ et H3 20€ et on nous demande qu’elle recette par arbre vendu peut espérer la jardinerie ? J’avoue être un peu perdu avec cette question. J’ai regroupé dans un tableau les prix et les probabilités de chaque arbres et je voulais savoir si il fallait calculer l esperance a laide du tableau que jai fait a savoir 10€ 12€ 15€ 20€ et en dessous 0,525 0,07 0,125 0,28
1. Calculer l’espérance d’une variable aléatoire question exercice probabilité , 3 janvier 2021, 21:12, par Neige
Bonsoir Nieckia,
Bravo, tu as bien compris ton exercice !
Pour ta première question, la réponse est oui : on peut espérer obtenir 21 conifères sur un échantillon de 40 arbres. N’oublie pas de préciser que ce résultat est une moyenne sur un grand nombre d’échantillons. Tu peux donc améliorer ta conclusion ainsi :
Sur un grand nombre d’échantillons de 40 arbres, on peut espérer obtenir, en moyenne, 21 conifères.
Pour ta 2ème question, c’est exactement cela et ton tableau est parfait ! (c’est l’espérance de la loi de probabilité de la variable Y qui compte la recette associée à la vente d’un arbre). Tu peux faire une conclusion similaire à la question précédente : "sur un grand nombre d’arbres vendus, la jardinerie peut espérer obtenir, en moyenne, une recette de ... par arbre vendu".
Encore bravo pour tes très bons raisonnements !
Neige
7. Calculer l’espérance d’une variable aléatoire, 30 juin 2021, 15:35, par Jérémy
Bonjours
J’ai remarquer une erreur sur la partie "D’autres exemples pour s’entraîner", "Niveau difficile" au corrigé de la question 2 il est marquer que 1.5 * 50 = 45€
1. Calculer l’espérance d’une variable aléatoire, 30 juin 2021, 17:26, par Neige
Bonjour et merci Jérémy !
C’est corrigé :-)
Bonne fin de journée à toi.
Neige
8. Calculer l’espérance d’une variable aléatoire, 2 janvier 2022, 18:08, par havenly
Bonjour si quelqu’un peux m’aider a résoudre merci d’avance
Soit X une variable aleatoire discrete dont la loi est donnee par le tableau suivant
x 0 1 y
P(X = x) 1/4 1/2 1/4
1. Quelle doit être la valeur de y pour que l’espérance de X soit de 4 ?
2. Pour cette valeur de y, quelle est la variance de X ?
1. Calculer l’espérance d’une variable aléatoire, 2 janvier 2022, 20:52, par Neige
Bonjour havenly,
La loi de probabilité de X est :
1. L’espérance de X se calule en multipliant les éléments de la 1ère ligne par ceux de la 2ème qui lui correspondent :
E(X) = 0×1/4 + 1×1/2 + y×1/4
Si tu veux que ça fasse 4, il te suffit de trouver y pour que : 0×1/4 + 1×1/2 + y×1/4 = 4
(je te laisse faire).
2. Une fois que tu auras trouvé y, rappelle toi que la variance d’une variable aléatoire est la moyenne des carrés des écarts à la moyenne. C’est un peu compliqué lorsqu’on le dit comme ça mais voici les étapes à réaliser :
a. Pour chaque valeur de la 1ère ligne, tu soustrait y. Par exemple, si tu as trouvé y = 2 (ce n’est pas cette valeur en réalité), cela te donne :
b. Tu passes chaque valeur au carré :
c. Tu effectues le même calcul qu’à la question 1, mais avec cette nouvelle première ligne (en gardant la deuxième ligne identique) :
4×1/4 + 1×1/2 + 0×1/4
Ce calcul donne la variance.
Voilà, n’hésite pas à revenir si tu as besoin d’aide.
Courage et bonne année à toi
Neige