Accueil > Terminale ES et L spécialité > Exercices corrigés du bac > Pondichéry, Mai 2018 - Exercice 2
Pondichéry, Mai 2018 - Exercice 2
mercredi 9 mai 2018, par
Pondichéry, Mai 2018 - Exercice 2
5 points - 45 minutes
Thèmes abordés : probabilités conditionnelles, loi normale, intervalle de confiance.
Pour faire cet exercice dans de bonnes conditions, il est recommandé de connaître les méthodes suivantes :
Les différentes parties de cet exercice peuvent être traitées de façon indépendante.
Les résultats numériques seront donnés, si nécessaire, sous forme approchée à 0,01 près.
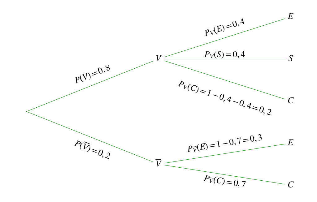
Un commerçant dispose dans sa boutique d’un terminal qui permet à ses clients, s’ils souhaitent régler leurs achats par carte bancaire, d’utiliser celle-ci en mode sans contact (quand le montant de la transaction est inférieur ou égal à 30 €) ou bien en mode code secret (quel que soit le montant de la transaction).
Il remarque que :
• 80 % de ses clients règlent des sommes inférieures ou égales à 30 €. Parmi eux :
— 40 % paient en espèces ;
— 40 % paient avec une carte bancaire en mode sans contact ;
— les autres paient avec une carte bancaire en mode code secret.
• 20 % de ses clients règlent des sommes strictement supérieures à 30 €. Parmi eux :
— 70 % paient avec une carte bancaire en mode code secret ;
— les autres paient en espèces.
On interroge au hasard un client qui vient de régler un achat dans la boutique.
On considère les évènements suivants :
• $V$ : « pour son achat, le client a réglé un montant inférieur ou égal à 30 € » ;
• $E$ : « pour son achat, le client a réglé en espèces » ;
• $C$ : « pour son achat, le client a réglé avec sa carte bancaire en mode code secret » ;
• $S$ : « pour son achat, le client a réglé avec sa carte bancaire en mode sans contact ».
1.
a. Donner la probabilité de l’évènement $V$, notée $P(V)$, ainsi que la probabilité de $S$ sachant $V$ notée $P_V(S)$.
Relire la méthode : Traduire un texte dans le langage des probabilités.
b. Traduire la situation de l’énoncé à l’aide d’un arbre pondéré.
Relire la méthode : Construire un arbre pondéré.
2.
a. Calculer la probabilité que pour son achat, le client ait réglé un montant inférieur ou égal à 30 € et qu’il ait utilisé sa carte bancaire en mode sans contact.
Relire la méthode : Utiliser la formule des probabilités conditionnelles.
b. Montrer que la probabilité de l’évènement : « pour son achat, le client a réglé avec sa carte bancaire en utilisant l’un des deux modes » est égale à 0,62.
Relire la méthode : Calculer la probabilité d’une réunion avec un arbre.
On note $X$ la variable aléatoire qui prend pour valeur la dépense en euros d’un client suite à un achat chez ce commerçant.
On admet que $X$ suit la loi normale de moyenne 27,5 et d’écart-type 3.
On interroge au hasard un client qui vient d’effectuer un achat dans la boutique.
1. Calculer la probabilité que ce client ait dépensé moins de 30 €.
Relire la méthode : Calculer des probabilités avec une loi normale.
2. Calculer la probabilité que ce client ait dépensé entre 24,50 € et 30,50 €.
Relire la méthode : Calculer des probabilités avec une loi normale.
Une enquête de satisfaction a été réalisée auprès d’un échantillon de 200 clients de cette boutique.
Parmi eux, 175 trouvent que le dispositif sans contact du terminal est pratique.
Déterminer, avec un niveau de confiance de 0,95, l’intervalle de confiance de la proportion $p$ de clients qui trouvent que le dispositif sans contact est pratique.
Relire la méthode : Etablir un intervalle de confiance.
C’est terminé !
Mathématiques.club


